区委
区人大
区政府
区政协
繁体版
登录
注册
网站无障碍
关怀版
池州市
东至县
青阳县
石台县
当前位置:
网站首页
>
全面推进基层政务公开标准化规范化工作专题
>
服务内容和服务方式
索引号:
113418020032847666/202504-00004
组配分类:
服务内容和服务方式
发布机构:
澳门皇冠体育_中国竞彩网$【官网娱乐平台】:民政局
主题分类:
民政、扶贫、救灾
名称:
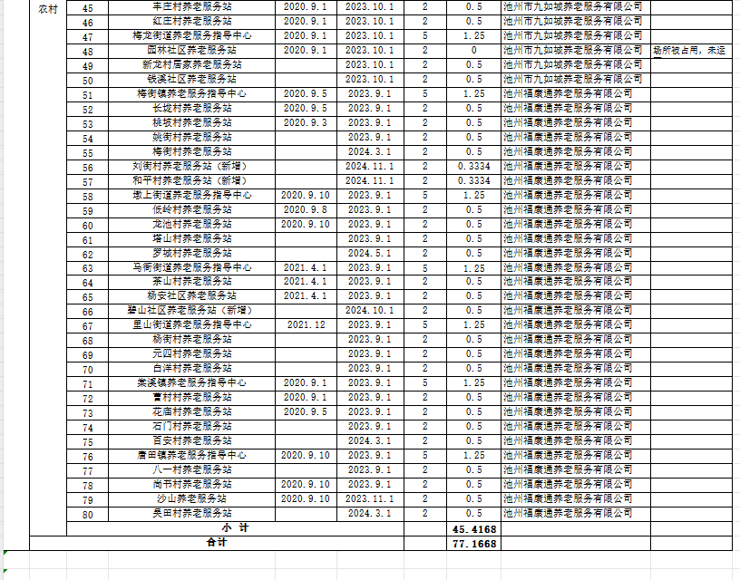
2024年第4季度澳门皇冠体育_中国竞彩网$【官网娱乐平台】:居家和社区养老服务中心(站点)运营经费明细表
文号:
无
成文日期:
发布日期:
2025-04-23
生效日期:
废止日期:
2024年第4季度澳门皇冠体育_中国竞彩网$【官网娱乐平台】:居家和社区养老服务中心(站点)运营经费明细表
阅读次数:
来源:澳门皇冠体育_中国竞彩网$【官网娱乐平台】:民政局
发布时间:2025-04-23 16:12
用微信扫描二维码
分享至好友和朋友圈
×
【字体大小:
大
中
小
】
澳门皇冠体育_中国竞彩网$【官网娱乐平台】:2024年第四季度居家和社区养老服务中心(站点)运营经费表.png【127.88 KB】
澳门皇冠体育_中国竞彩网$【官网娱乐平台】:2024年第四季度居家和社区养老服务中心(站点)运营经费表2.png【97.99 KB】
扫一扫在手机打开当前页
顶部
打印
关闭